Deciding between integration by parts and u-substitution comes down to recognizing specific patterns in the integral.
For the integral , the correct method is integration by parts.
Here’s a breakdown of how to make that decision.
The goal of u-substitution is to simplify the integral into a much more basic form, like or .
Look for: A function and its derivative (or a constant multiple of its derivative) present in the integral.
In your problem, , the derivative of is , which isn't present. The derivative of is , which doesn't help simplify the logarithm. Therefore, substitution is not the best first step.
This method is specifically designed to solve integrals that are a product of two unrelated functions. The formula is .
Look for: A product of two different function types, such as:
Your integral is a textbook example of this pattern—it's the product of an algebraic function () and a logarithmic function ().
To choose which part is '' and which is '', a helpful mnemonic is LIATE:
Choose your '' based on whichever function type appears first in the LIATE list.
Identify the function types:
Choose u: Since 'L' comes before 'A' in LIATE, we choose:
Differentiate u and integrate dv:
Apply the formula: The new integral, , is now a rational function that can be solved with algebraic manipulation (like polynomial long division) and is simpler than the original problem.
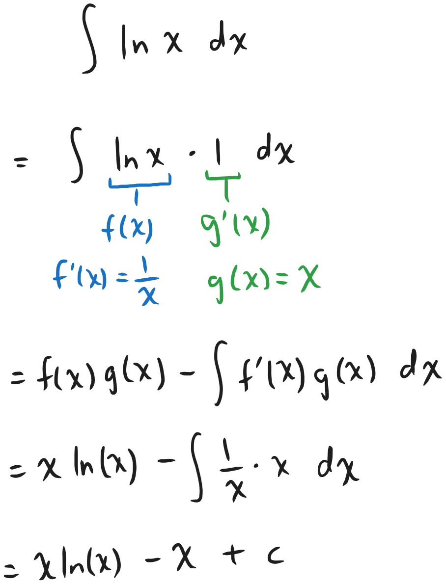
This technique involves introducing a "1" term into the integral to facilitate integration by parts.

© 2026 James Yap
Personal Website and Knowledge Base